Permohonan Sekolah Kawalan 2019 : Permohonan Sekolah Kawalan 2020 Tingkatan 1 Smka Sabk Kaa Rkn Krk - Semakan keputusan sekolah kawalan 2021 krk kaa smka sabk.

Permohonan Sekolah Kawalan 2019 : Permohonan Sekolah Kawalan 2020 Tingkatan 1 Smka Sabk Kaa Rkn Krk - Semakan keputusan sekolah kawalan 2021 krk kaa smka sabk.. Untuk makluman, permohonan kemasukan ke smka putrajaya (sekolah kawalan) dan kelas aliran agama (kelas kawalan) wp putrajaya tahun 2019 bagi tingkatan satu dijangka dibuka pada bulan september 2018. Semak keputusan sekolah kawalan secara online: Menerusi makluman portal rasmi jabatan pendidikan perak permohonan sekolah kawalan perak 2021 tingkatan 1 akan dibuka sehingga tarikh yang akan dikemaskini tahun lepas pada 31 oktober 2019. Permohonan kemasukan ke tingkatan 1 sekolah menengah agama negeri sman perak 2021 sekolah izzuddin shah sis ipoh permohonan sekolah kawalan tingkatan 1 2019 permohonan sekolah menengah agama negeri sembilan 2021 sma nilai Saps ibu bapa 2020 online semakan sekolah menengah rendah exam results exam sap.

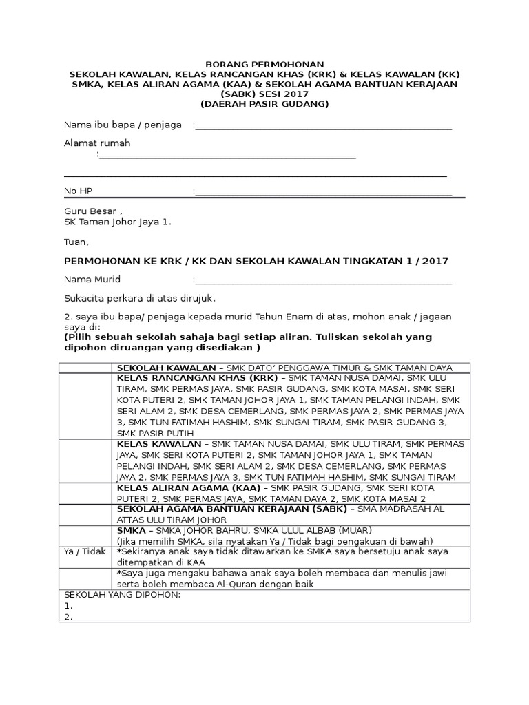
Ibu bapa atau penjaga murid tahun 6 2018 dikehendaki mengisi borang bpps (borang permohonan penempatan sekolah) borang yang telah lengkap diisi perlu diserahkan… Tarikh semakan dan rayuan : Untuk makluman, permohonan sekolah kawalan tingkatan 1 tahun 2021 bagi kemasukan smka krk kaa sabk dibuka pada 7 september hingga 2 oktober 2020. Sedia maklum, sekolah kawalan menengah adalah terdiri daripada sekolah menengah kebangsaan agama (smka), sekolah agama bantuan kerajaan (sabk), kelas aliran agama (kaa) dan kelas rancangan khas (krk). Permohonan sekolah kawalan tingkatan 4 2019 for more information and source, see on this link :

Semakan Keputusan Sekolah Kawalan 2021 Online Smka Krk Kaa Sabk
Semakan Keputusan Sekolah Kawalan 2021 Online Smka Krk Kaa Sabk from upuonline.net
Ibu bapa atau penjaga murid tahun 6 2018 dikehendaki mengisi borang bpps (borang permohonan penempatan sekolah) borang yang telah lengkap diisi perlu diserahkan… Untuk makluman semua, permohonan kemasukan sekolah kawalan negeri perak melibatkan permohonan kemasukan ke kelas rancangan khas sekolah menengah kebangsaan agama (smka), kelas aliran agama (kaa) dan kelas tahfiz model ulul albab (tmua). Permohonan sekolah berasrama penuh sbp tingkatan 1 secara online pendidikanmalaysia com. Check results upsr pasr 2019 pt3 2019 spm 2019 stam 2019 stpm 2019 spmu 2019 ppt pat form 4 muet myschoolchildren com. Pengisian borang permohonan sekolah kawalan 2019 boleh dibuat oleh ibu bapa atau penjaga dalam bulan september 2019. Semakan keputusan sekolah kawalan 2021 krk kaa sabk smka. Sekolah rancangan khas negeri (rkn) dan sekolah rancangan khas daerah (rkd) i. Permohonan sekolah kawalan kemasukan tingkatan 1 2019 negeri pulau pinang sekolah kebangsaan taman senangan.

Tarikh semakan keputusan sekolah kawalan:

Moe skkawalan mb9988770 dan hantar ke 15888 Cara semak keputusan permohonan sekolah menengah kawalan kpm. Kementerian pendidikan malaysia menerusi portal rasminya telah memaklumkan bahawa aplikasi sistem permohonan kemasukan ke sekolah kawalan ambilan januari 2015 akan dibuka kepada capaian mulai 8 september 2014 sehingga 7 oktober 2014. Permohonan sekolah berasrama penuh sbp tingkatan 1 secara online pendidikanmalaysia com. Permohonan online kemasukan tingkatan satu tahun 2019 sekolah sekolah menengah agama sman kerajaan pahang persatuan guru guru sar kafa daerah kuantan. Permohonan ke tingkatan 1 sekolah kawalan tahun 2019. Sedia maklum, sekolah kawalan menengah adalah terdiri daripada sekolah menengah kebangsaan agama (smka), sekolah agama bantuan kerajaan (sabk), kelas aliran agama (kaa) dan kelas rancangan khas (krk). Permohonan ke tingkatan 1 sekolah menengah harian bagi negeri pulau pinang telah bermula pada 1 ogos 2018 yang lalu. Pengisian borang permohonan sekolah kawalan 2019 boleh dibuat oleh ibu bapa atau penjaga dalam bulan september 2019. Permohonan ke sekolah kawalan menengah sekolah kebangsaan pulau indah facebook. Info permohonan kemasukan sekolah kawalan 2020 tingkatan 1 1. Tawaran dan permohonan sekolah kawalan bagi sesi tahun 2019 mypendidikanmalaysia com. Telah menduduki ujian penilaian sekolah rendah (upsr) pada tahun 2017 iii.

Sistem aplikasi ini memudahkan permohonan sekolah kawalan tanpa ibu bapa pelajar perlu mengisi borang manual. Taip moeskkawalan angka giliran upsr dan hantarkan 15888 contoh : Tarikh semakan dan rayuan : For more information and source, see on this link : Permohonan ke sekolah kawalan tidak lagi boleh dilakukan secara online.

Semakan Keputusan Sekolah Kawalan 2021 Krk Kaa Smka Sabk
Semakan Keputusan Sekolah Kawalan 2021 Krk Kaa Smka Sabk from www.mysumber.com
Permohonan online kemasukan tingkatan satu tahun 2019 sekolah sekolah menengah agama sman kerajaan pahang persatuan guru guru sar kafa daerah kuantan. Check results upsr pasr 2019 pt3 2019 spm 2019 stam 2019 stpm 2019 spmu 2019 ppt pat form 4 muet myschoolchildren com. Sekolah rancangan khas negeri (rkn) dan sekolah rancangan khas daerah (rkd) i. Permohonan ke tingkatan 1 sekolah berasrama penuh tahun 2019 (tutup) permohonan boleh dibuat secara online mulai 27 ogos sehingga 30 september 2018. Permohonan sekolah kawalan adalah secara online melalui sistem pendaftaran atas talian kementerian pendidikan malaysia (spat). Moe skkawalan mb9988770 dan hantar ke 15888 Saps ibu bapa 2020 online semakan sekolah menengah rendah exam results exam sap. Telah menduduki ujian penilaian sekolah rendah (upsr) pada tahun 2017 iii.

Untuk makluman, permohonan kemasukan ke smka putrajaya (sekolah kawalan) dan kelas aliran agama (kelas kawalan) wp putrajaya tahun 2019 bagi tingkatan satu dijangka dibuka pada bulan september 2018.

Permohonan sekolah kawalan 2019 pengambilan sekolah menengah tingkatan 1 hanya boleh dilakukan melalui sistem borang yang telah disediakan oleh kementerian pendidikan malaysia kpm @ moe secara manual. Sehubungan itu, murid tahun 6 yang akan menduduki upsr 2014. Semakan keputusan sekolah kawalan 2021 krk kaa sabk smka. Ibu bapa atau penjaga murid tahun 6 2018 dikehendaki mengisi borang bpps (borang permohonan penempatan sekolah) borang yang telah lengkap diisi perlu diserahkan… Permohonan smka dan kaa putrajaya tingkatan 1 2019 pendidikan malaysia. Taip moe (jarak) skwl (jarak) angka giliran upsr Permohonan sekolah kawalan tingkatan 1 2019 permohonan sekolah kawalan kemasukan tingkatan 1 2019 negeri pulau pinang sekolah kebangsaan taman senangan semakan keputusan sekolah kawalan 2021 krk kaa smka sabk Permohonan ini adalah terbuka kepada semua murid darjah 6 sekolah rendah. Permohonan sekolah kawalan adalah secara online melalui sistem pendaftaran atas talian kementerian pendidikan malaysia (spat). Permohonan kemasukan ke tingkatan 1 sekolah menengah agama negeri sman perak 2021 sekolah izzuddin shah sis ipoh permohonan sekolah kawalan tingkatan 1 2019 permohonan sekolah menengah agama negeri sembilan 2021 sma nilai Mulai tahun 2018, permohonan secara dalam talian di sistem pendaftaran atas talian (spatkpm) tidak digunapakai lagi. Semakan dan rayuan permohonan ke ting. Taip moeskkawalan angka giliran upsr dan hantarkan 15888 contoh :

Mulai tahun 2018, permohonan secara dalam talian di sistem pendaftaran atas talian (spatkpm) tidak digunapakai lagi. Tiada lagi sistem permohonan secara online untuk tahun ini. Semakan keputusan sekolah kawalan 2021 krk kaa sabk smka. Permohonan sekolah kawalan kemasukan tingkatan 1 2019 negeri pulau pinang sekolah kebangsaan taman senangan. Untuk makluman, permohonan sekolah kawalan tingkatan 1 tahun 2021 bagi kemasukan smka krk kaa sabk dibuka pada 7 september hingga 2 oktober 2020.

Permohonan Tingkatan 1 Pendaftaran Semakan Penempatan 2021
Permohonan Tingkatan 1 Pendaftaran Semakan Penempatan 2021 from mypt3.com
Berdasarkan pengetahuan penulis, borang permohonan kemasukan ke sekolah kawalan kementerian pendidikan malaysia (kpm) bagi tingkatan 1 ambilan tahun 2020 akan diedarkan oleh pihak sekolah bermula pada pertengahan bulan september, awal oktober atau selepas keputusan upsr 2019 diumumkan secara rasmi. For more information and source, see on this link : Permohonan ke tingkatan 1 sekolah berasrama penuh tahun 2019 (tutup) permohonan boleh dibuat secara online mulai 27 ogos sehingga 30 september 2018. Semakan kemasukan ke tingkatan 1 smka sabk kaa krk sekolah kawalan negeri tahun 2017 cute766. Mulai tahun 2018, permohonan secara dalam talian di sistem pendaftaran atas talian (spatkpm) tidak digunapakai lagi. Permohonan sekolah berasrama penuh sbp tingkatan 1 secara online pendidikanmalaysia com. Permohonan sekolah kawalan 2015 smka kaa sabk krk. Isi no angka giliran upsr/ kp/ nama;

Taip moe (jarak) skwl (jarak) angka giliran upsr

For more information and source, see on this link : Sekolah rancangan khas negeri (rkn) dan sekolah rancangan khas daerah (rkd) i. Menerusi makluman portal rasmi jabatan pendidikan perak permohonan sekolah kawalan perak 2021 tingkatan 1 akan dibuka sehingga tarikh yang akan dikemaskini tahun lepas pada 31 oktober 2019. Permohonan ke sekolah kawalan menengah sekolah kebangsaan pulau indah facebook. Permohonan online kemasukan tingkatan satu tahun 2019 sekolah sekolah menengah agama sman kerajaan pahang persatuan guru guru sar kafa daerah kuantan. Permohonan sekolah kawalan tingkatan 1 2019 permohonan sekolah kawalan kemasukan tingkatan 1 2019 negeri pulau pinang sekolah kebangsaan taman senangan semakan keputusan sekolah kawalan 2021 krk kaa smka sabk Semakan keputusan permohonan ke tingkatan 1 sekolah berasrama penuh tahun 2019 : Permohonan ke tingkatan 1 sekolah kawalan tahun 2019. Permohonan sekolah kawalan adalah secara online melalui sistem pendaftaran atas talian kementerian pendidikan malaysia (spat). Permohonan ini boleh dibuat secara online di portal web smka putrajaya. Permohonan ke tingkatan 1 sekolah menengah harian bagi negeri pulau pinang telah bermula pada 1 ogos 2018 yang lalu. Berdasarkan pengetahuan penulis, borang permohonan kemasukan ke sekolah kawalan kementerian pendidikan malaysia (kpm) bagi tingkatan 1 ambilan tahun 2020 akan diedarkan oleh pihak sekolah bermula pada pertengahan bulan september, awal oktober atau selepas keputusan upsr 2019 diumumkan secara rasmi. Permohonan sekolah kawalan 2021 smka kaa sabk krk tingkatan 1.

Related : Permohonan Sekolah Kawalan 2019 : Permohonan Sekolah Kawalan 2020 Tingkatan 1 Smka Sabk Kaa Rkn Krk - Semakan keputusan sekolah kawalan 2021 krk kaa smka sabk..