Contoh Surat Tunjuk Minat : Contoh surat undangan resmi mengahdiri acara dibuat dan ditujukan bisa kepada individu atau sebuah kelompok dalam perusahaan sehingga memang biasanya ketua atau kepala sekolah yang di undang tidak bisa hadir disinilah akan di ganti dengan perwakilanya.

Contoh Surat Tunjuk Minat : Contoh surat undangan resmi mengahdiri acara dibuat dan ditujukan bisa kepada individu atau sebuah kelompok dalam perusahaan sehingga memang biasanya ketua atau kepala sekolah yang di undang tidak bisa hadir disinilah akan di ganti dengan perwakilanya.. Tanpa ada surat kuasa, wakil yang kamu tunjuk tidak akan bisa mengurus dokumen atas namamu. Saya ali bin ahmad, tidak dapat menghadirkan diri ke mesyuarat pada hari isnin 16 jun 2016. Examples of letter of interest are subcontractors. Contoh surat permohonan izin tidak masuk sekolah. Koleksi contoh surat tunjuk sebab (pelbagai alasan).

Surat minat berkelanjutan yang sangat efektif adalah bagaimana siswa yang masuk daftar tunggu dan yang ditangguhkan dapat tampil menonjol dari yang lain. Examples show interest in buying sand. The leading lowongan karir kerja site on the net lowongan kerja berbagai posisi di pt trilogy music indonesia 11 apr 2013 | 12:40 pm. Contoh surat kiriman tidak rasmi. Tanpa ada surat kuasa, wakil yang kamu tunjuk tidak akan bisa mengurus dokumen atas namamu.

Surat Berhenti Kerja Kerana Dapat Kerja Lain
Surat Berhenti Kerja Kerana Dapat Kerja Lain from cdn.statically.io
Show interest, show cause letter. 24 mac 2013 puan, surat tunjuk sebab gagal hadir ke kuliah. Saya mohd ali abu bakar tidak dapat menghadirkan diri ke kursus teach smart yang berlangsung di. Contextual translation of contoh surat tunjuk minat into english. Contoh surat tunjuk minat menjadi sub kontraktor. 1 koleksi contoh surat tunjuk sebab. Dalam memberi alasan untuk dikemukakan dalam surat pastikan alasan anda kukuh dan munasabah supaya majikan boleh terima. 2015 10 16 usage frequency:

Examples show interest in buying sand.

Penjelasan lengkap seputar contoh surat niaga yang baik dan benar. Surat ini sering digunakan jika anda mempunyai masalah seperti tidak hadir kerja melalui surat tunjuk sebab ini, anda boleh mengutarakan alasan dan penjelasan ikut format rasmi jika anda bjuat kesalahan tata tertib. Contoh surat tunjuk sebab majikan dan pekerja | ok, untuk kali ini, admin akan ajarkan anda cara menjawab surat tunjuk sebab (show cause letter) yang diberikan oleh majikan kepada anda sebagai pekerja yang mungkin korang ada melakukan salah laku atau seumpamanya. 30 april 2013 guru besar sekolah kebangsaan merlimau 2 km 26, jalan jasin, 77300 merlimau, melaka. Surat tunjuk minat membuat projek perumahaan. Example land purchase interest letter. Namun di era yang serba canggih ini sudah sedikit sekali, bahkan hampir tidak ada orang yang. Surat minat berkelanjutan yang sangat efektif adalah bagaimana siswa yang masuk daftar tunggu dan yang ditangguhkan dapat tampil menonjol dari yang lain. Examples of letter of interest are subcontractors. Examples show interest in buying sand. Contoh surat kiriman tidak rasmi. Dengan hormatnya merujuk kepada perkara di atas. 24 mac 2013 puan, surat tunjuk sebab gagal hadir ke kuliah.

Raub km 29, kampung sebatu, jalan salim off jalan haji cherah, 77400, sungai rambai, melaka. Surat tunjuk sebab adalah surat yang amat penting untuk ditulis selain surat rayuan. Saya mohd ali abu bakar tidak dapat menghadirkan diri ke kursus teach smart yang berlangsung di. Namun terkadang penugasan harus dilakukan secara resmi, dimana tentunya surat penugasan ini bisa diberikan kepada perseorangan yang ditunjuk, ataupun sekaligus untuk beberapa orang. Show interest, show cause letter.

Cikgu Resume Nak Berhenti Kerja Nahhh Contoh Surat Facebook
Cikgu Resume Nak Berhenti Kerja Nahhh Contoh Surat Facebook from lookaside.fbsbx.com
Examples of letter of interest are subcontractors. 2015 10 16 usage frequency: Surat tunjuk sebab ketidakhadiran kursus teach smart. Surat minat berkelanjutan yang sangat efektif adalah bagaimana siswa yang masuk daftar tunggu dan yang ditangguhkan dapat tampil menonjol dari yang lain. Contoh surat tunjuk minat menjadi sub kontraktor. Saya ali bin ahmad, tidak dapat menghadirkan diri ke mesyuarat pada hari isnin 16 jun 2016. Koleksi contoh surat tunjuk sebab (pelbagai alasan). Temukan contoh yang kamu cari di sini.

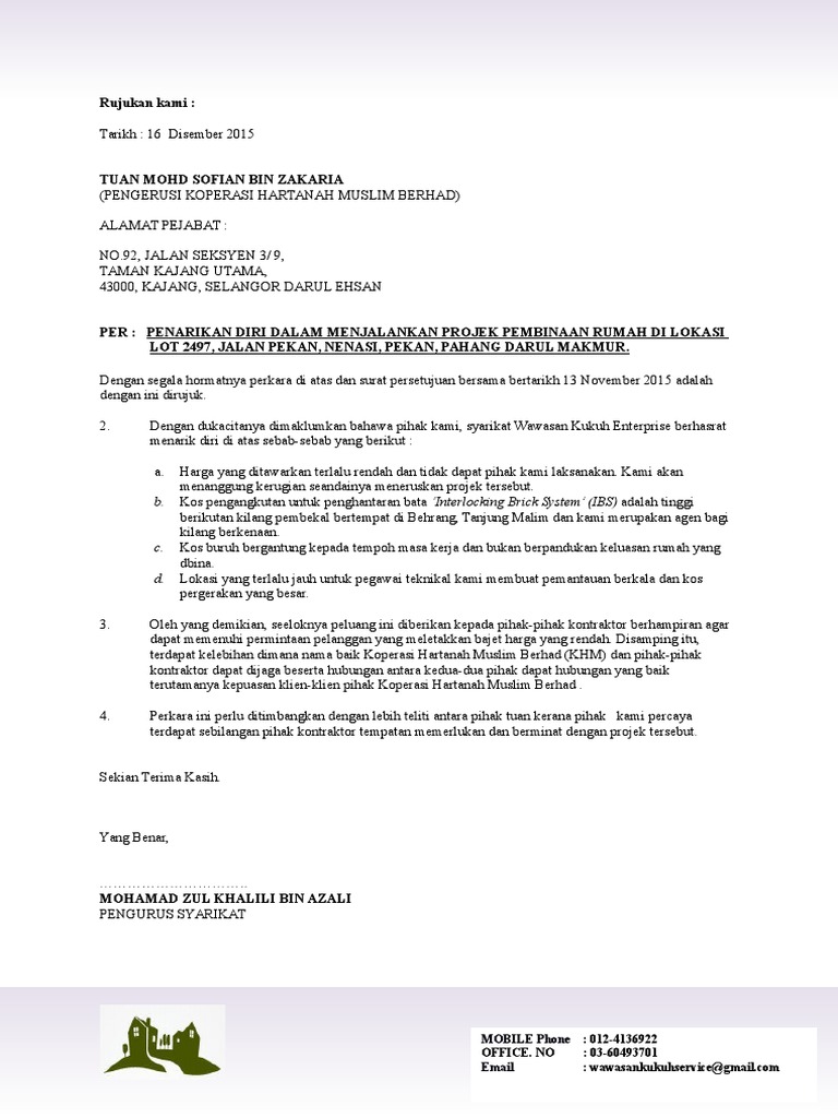
Contoh surat tunjuk minat menjadi sub kontraktor.

Surat tunjuk sebab ketidakhadiran mesyuarat. Adapun maksud dan tujuan kepindahan saya. Contoh surat kiriman tidak rasmi. Most contoh surat tunjuk minat masuk tender related news are at: Penawaran, surat contoh surat pengalaman kerja guru sekolah contoh surat pengalaman kerja guru sekolah, surat pengalaman kerja ini bisa dibuat dalam bentuk cv, kadang cv tersebut membutuhkan referensi berbentuk surat resmi yang menerangkan bahwa seseorang tersebut telah. Salah satu contoh surat rekomendasi yang sering dibuat adalah merekomendasikan seseorang untuk berpartisipasi dalam sebuah kegiatan atau acara seperti lomba. Contoh surat tunjuk minat menjadi sub kontraktor. Saya mohd ali abu bakar tidak dapat menghadirkan diri ke kursus teach smart yang berlangsung di. Examples show interest in buying sand. Surat tugas di buat dan di tanda tangani oleh atasan atau pejabat yang. Contoh surat tunjuk minat tender. Example land purchase interest letter. Saya dengan segala hormatnya, merujuk kepada perkara, saya <nama pekerja> tidak dapat hadir kerja pada <tarikh tidak datang kerja>.

Show interest, show cause letter. Surat tunjuk minat membuat projek perumahaan. 2019 10 23 usage frequency Contoh surat tunjuk minat beli tanah. Bagi kamu yang sedang mencari acuan sebagai contoh, apabila urusannya mencakup pengadilan, maka suratnya harus rinci menjelaskan tentang apa saja yang akan terjadi di dalam pengadilan.

Surat Minat Ppsp 2013
Surat Minat Ppsp 2013 from image.slidesharecdn.com
Puan, surat tunjuk sebab ketidak. Dengan hormatnya merujuk kepada perkara di atas. Contextual translation of contoh surat tunjuk minat into english. 2015 10 16 usage frequency: Contoh surat menarik berkesinambungan untuk siswa dalam daftar tunggu. Surat pemberitahuanmaret 29, 2021 18:54. Namun terkadang penugasan harus dilakukan secara resmi, dimana tentunya surat penugasan ini bisa diberikan kepada perseorangan yang ditunjuk, ataupun sekaligus untuk beberapa orang. Raub km 29, kampung sebatu, jalan salim off jalan haji cherah, 77400, sungai rambai, melaka.

24 mac 2013 puan, surat tunjuk sebab gagal hadir ke kuliah.

Surat tunjuk sebab ketidakhadiran kursus teach smart. Saya dengan segala hormatnya, merujuk kepada perkara, saya <nama pekerja> tidak dapat hadir kerja pada <tarikh tidak datang kerja>. Namun terkadang penugasan harus dilakukan secara resmi, dimana tentunya surat penugasan ini bisa diberikan kepada perseorangan yang ditunjuk, ataupun sekaligus untuk beberapa orang. Contoh surat tunjuk minat beli tanah. 2015 10 16 usage frequency: Contoh surat tunjuk sebab terbaik yang mudah dan ringkas. 2019 10 23 usage frequency Tujuan surat rekomendasi kegiatan ini untuk menyatakan bahwa yang diutus atau yang ditunjuk secara resmi mendaftar pada kegiatan. Examples show interest in buying sand. Dengan hormatnya merujuk kepada perkara di atas. The leading lowongan karir kerja site on the net lowongan kerja berbagai posisi di pt trilogy music indonesia 11 apr 2013 | 12:40 pm. Show interest, show cause letter. Contoh surat tunjuk minat tender.

Related : Contoh Surat Tunjuk Minat : Contoh surat undangan resmi mengahdiri acara dibuat dan ditujukan bisa kepada individu atau sebuah kelompok dalam perusahaan sehingga memang biasanya ketua atau kepala sekolah yang di undang tidak bisa hadir disinilah akan di ganti dengan perwakilanya..